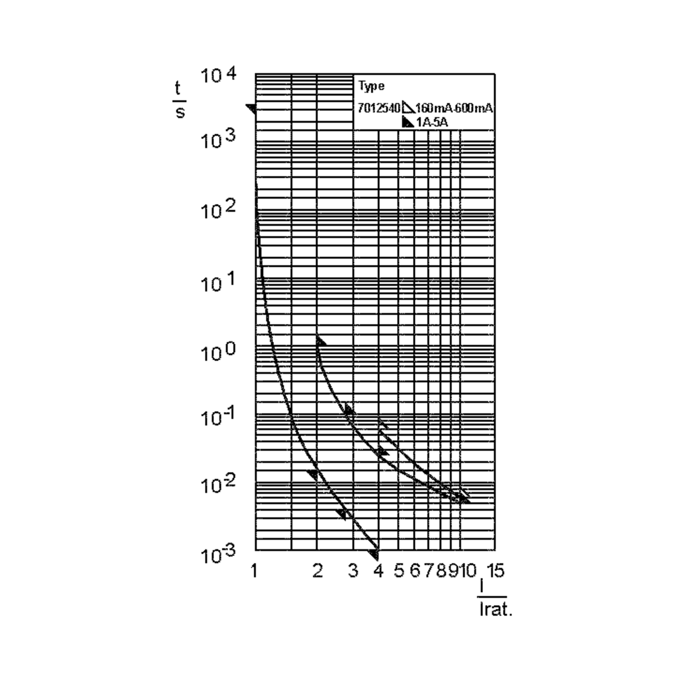
7012540.1,6
SIBA Device fuse link 6,3x32mm 7012540 super quick acting 700VAC 1,6A



Enter your company's part number here. Your part number will be referenced on your receipts, such as the order confirmation, invoice or delivery note.
Enter your personal project number here to assign the item to a project. Your part project number will be referenced on your receipts, such as the order confirmation, invoice or delivery note.
180 Pcs. in stock
Planned delivery time
Ø 5 Weeks
Life Cycle Status
The life cycle indicates which market phase the item is in. We distinguish between:
• Active (green)
• NRND = Not Recommended for New Designs (yellow)
• LTB = Last Time Buy (yellow)
• EOL = End of Life (red)
Active
Available (from stock)
Data Sheet
Prices
Manufacturer bundle 100 Pcs.
Manufacturer's packaging unit (Mfr. PU) means the smallest original packaging unit of the manufacturer.
Price per 1 Pcs.
Quantity and Options
(at least 10 or multiple of 10)
All prices net plus VAT. We do not deliver to private customers.
Fact Sheet
- Notice
- Cross-references:
• Here you will find suitable fuse holders. - Series
- 7012540
- Package/Case
- 6,3 x 32 mm
- Characteristic
- super quick acting
- Rated voltage V AC
- 700 V AC
- Rated current
- 1.6 A
- RoHS-Conform
Specifications
Open all
Technical Features
- Rated current
- 1.6 A
- Melting integral
- 0.31 A²/s
- Rated breaking capacity
- 50.000 A
- Rated voltage V AC
- 700 V AC
- Voltage drop
- 650 mV
- Power loss, max.
- 1,1 W
Safety/Certifications
- Approvals
- cULus


